증기압 (vapor pressure, 蒸氣壓)
2017-11-02
고체 · 액체의 기화(氣化)에 의한 압력.
일정한 온도에서 밀폐된 용기에 들어 있는 액체와 그 증기가 동적 평형 상태(증발하는 분자 수와 응결하는 분자 수가 같아서 아무런 마치 아무런 변화도 없는 것처럼 보이는 상태)에 있을 때, 증기가 나타내는 압력을 증기 압력이라고 한다. 다른 말로는 증기압이라고도 한다. 증기 압력은 물질의 종류에 따라 다르며, 일반적으로 액체 분자 사이의 인력이 작은 물질일수록 증기 압력이 크다.
일정한 온도에서는 증기압은 어느 상한(上限)까지 밖에 도달하지 않는다. 이 상한을 포화(飽和) 증기압이라고 한다. 포화증기압은 물질의 종류(相)와 온도에 따라 정해진다. 같은 온도에서는 끓는점이 낮은 물질 쪽이 크며, 같은 물질에서는 온도가 높을수록 크다. 포화증기압 또는 포화수증기압을 단순히 증기압이라고 하는 경우도 있다.
〔포화증기압〕액체의 포화증기압이 대기압과 같아지면 액체 내부에서 기체의 발생이 시작된다(끓음). 따라서 높은 산꼭대기와 같이 대기압이 낮은 곳에서는 지상보다 저온에서 끓음이 시작된다. 이것을 역 이용, 펌프 등으로 배기(排氣)해 감압(減壓)하면 훨씬 저온에서 끓게 할 수 있다. 수류(水流)펌프(아스피레이터) 등을 써서 실험실에서 자주 이용하는데, 이것은 정확히는 감압증류이지만 흔히 진공증류라고 한다.
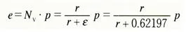
〔기상(氣象)〕기상용어로 증기압이라 하면, 대기 중의 수증기의 부분압력을 가리킨다. 수증기장력이라고도 한다. 일반적으로 공기 중에는 수증기가 함유되어 있는데, 기압은 습윤공기의 압력이며, 건조공기의 압력과 수증기의 압력의 합이다. 증기압도 기압과 마찬가지로 mb(밀리바) 단위로 나타낸다. 증기압은 보통의 기상관측에서는 통풍건습계에 의한 측정이나, 이슬점습도〔露點濕度〕측정의 결과로부터 구한다. 증기압은 존재하는 수증기량에 의해 결정되므로 어떤 부피의 공기 중에 함유된 수증기량을 증기압으로 표시하는 경우도 있다. 증기압(e)은 엄밀하게는 수증기압의 몰률(Nv)과 습윤공기의 압력(p)의 곱, 즉 다음 식으로 정의된다.
여기서 r는 혼합비로서, 건조공기의 질량에 대한 수증기의 질량의 비로 나타낸다. ε은 건조공기의 분자량에 대한 수증기의 분자량의 비이다. 증기압(e), 습도(T)와 부피(V) 사이에는 다음 관계가 성립한다.
단, R는 기체상수, R′는 건조공기의 비(比)기체상수, Mv는 수증기의 분자량이다. 대기 중의 수증기는 높이와 함께 감소하고, 단위단면적의 공기기둥에 포함되는 수증기량의 대부분은 대류권(對流圈) 속에 있으며, 그 대부분은 높이 3km의 하층부분에 함유되어 있다.
단, R는 기체상수, R′는 건조공기의 비(比)기체상수, Mv는 수증기의 분자량이다. 대기 중의 수증기는 높이와 함께 감소하고, 단위단면적의 공기기둥에 포함되는 수증기량의 대부분은 대류권(對流圈) 속에 있으며, 그 대부분은 높이 3km의 하층부분에 함유되어 있다.
- 다음
- 지표 (characteristic, 指標) 2017.11.02
- 이전
- 중성 입자 (neutral particle) 2017.11.02























