막평형[membrane equilibrium, 膜平衡]
2017-06-23
[요약] 2종의 전해질 용액이 투과성을 갖지 않은 반투막에 의해 격리되어 있을 때, 막 양쪽에서 화학 평형에 이르는 현상을 말한다.
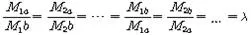
두 가지 전해질 용액이 용매와 일부 이온만을 투과시키는 반투막을 경계로 하여 접할 때 성립하는 화학 평형. F. G. 도난(1911)이 처음으로 조직적인 연구를 하여 도난의 막평형이라고도 한다. 막투과성 양이온 및 음이온의 활동도를 각기 M 및 X로 표시하면(격막 양쪽의 a, b, 이온의 종류를 1,2, … 첨자로 구별함),
의 관계가 있다. 여기서 λ는 농도와 관계가 없는 온도와 압력만의 함수이다. 막의 양쪽 전위차를 막전위라고 한다.
- 다음
- 만난[mannan] 2017.06.23
- 이전
- 막전극[membrane electrode] 2017.06.23























