법선 (normal, 法線)
2017-11-27
곡선 C 위의 한 점 P를 지나고 그 점에서 접선 t에 수직인 직선.
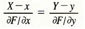
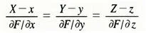
C가 평면곡선의 점일 때 P에서 C의 법선은 단 하나지만 공간곡선일 때는 무수히 존재하여 그들 전체가 t에 수직인 평면을 만든다. 이 평면을 점 P에서의 곡선 C의 법평면(法平面)이라고 한다. 공간곡선에 대해서는 점 P의 접촉평면 위에 있는 법선을 주법선(主法線)이라 하고, 접촉평면에 수직인 법선을 종법선(從法線), 또는 배법선(陪法線)이라고 한다[그림 1]. 곡면 S 위의 한 점 P에서 S에 접하는 평면이 있을 때 P를 지나고 이접평면에 수직인 직선을 P에서의 S의 법선이라고한다[그림 2]. 직교좌표계에서 곡면 F(x, y, z)=0의 점 (x, y, j)의 법선 (X, Y, Z)의 방정식은
로 표시하고, 또 평면곡선 F(x, y)=0에 대해서는
로 표시한다.
로 표시한다.
- 다음
- 법선방정식 (equation of normal) 2017.11.27
- 이전
- 법 (modulus) 2017.11.27
관련 콘텐츠























