안개상자 (cloud chamber)
2017-11-02
상자 내부에 기체를 넣어 안개를 만들고 이 사이에 대전입자를 지나가게 한 후 이로 인해 만들어진 미소한 물방울이 줄지어 있는 모습으로 궤적을 관찰하는 장치를 가리킨다.
스코틀랜드계 물리학자 찰스 톰슨 리스 윌슨이 발명하여 윌슨 상자라고도 불리며, 보통 이온화 방사선 입자들을 검출하는 데 사용된다. 안개상자의 원리는 우선 압력을 낮춘 수증기·알코올·아르곤의 혼합기체를 상자 내부에 넣은 후 급격히 팽창시켜 과포화상태로 만든다. 이때 생성된 안개에 이온화된 입자를 통과시키면 수증기와 반응해 응축이 이루어져 궤적이 보이게 되는 원리이다. 핵반응 연구 등에 사용되고, 입자의 크기가 커야 궤적이 보이기 때문에 정밀한 실험에는 부적합하다.
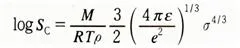
과포화상태를 만들려면 기체의 단열팽창을 이용하는 방법과 온도 기울기를 이용하는 방법이 있다. 맨 처음 윌슨이 제작한 안개상자는 팽창식이어서 보통 윌슨의 안개상자라고 할 때는 팽창안개상자를 말한다. 이에 비해 기체의 온도기울기를 이용한 것을 확산안개상자라고 한다. 안개상자는 보통 강한 자기장 안에서 사용되며, 하전입자의 비적의 곡률로 입자의 하전부호나 운동량을 알 수 있다. 안개상자는 소립자물리학의 발전에 많은 공헌을 했다. 윌슨과 W. 보테에 의한 콤프턴 산란(散亂)의 되튄전자(recoil electron)의 발견(1923), 미국의 물리학자인 C. D. 앤더슨의 양전자 발견(1932) 앤더슨과 S. H. 니더마이어에 의한 μ입자의 발견(1936) 등은 안개상자를 이용하여 달성한 업적이다. M. 켈빈의 이론에 의하면 하전입자가 기체 속에 생기는 이온을 핵으로 하여 안개〔霧滴〕로 성장하기 위해 필요한 최저의 과포화도(임계과포화) Sc는
로 주어진다. 여기서 M은 분자량, p · σ · ε은 각각 액체의 밀도 · 표면장력 · 유전상수, R는 기체상수, T는 절대온도, e는 이온의 전하이다. 한편 과포화도가 너무 커지면 안개상자가 전면 완전히 하얗게 되어 비적이 나타나지 않게 된다. 이것을 클라우드 리빗(cloud limit)이라 한다. Sc의 값은 물일 때 4, 알코올 일 때 약2이다.
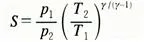
〔팽창안개상자〕 밀폐된 용기 속에 알코올과 아르곤 등의 혼합기체를 봉입하여 포화 상태를 유지하고 하전 입자의 통과에 동기(同期)시켜 피스톤 등으로 용기의 용적을 순간적으로 단열팽창 시킨다. 팽창 전후의 기체의 압력과 온도를 각기 P1, P2 및 T1, T2라 하면 과포화도 S는
가 된다. 예컨대 물과 에틸알코올이 20℃에서 포화되어 있을 때 S=2.2가 되기 위해서는 용적을 15% 증가시키면 되며, 비교적 쉽게 과포화 상태를 만들 수 있다. 이 팽창 안개상자의 결점은 입자의 통과에 동기시켜 팽창시키지 않으면 관측되지 않는다. 따라서 우주선이나 자연방사선을 관측하려고 할 때는 극히 많은 사진을 촬영해야 하지만 그 대부분에는 아무것도 찍히지 않는다.
〔확산안개상자〕 팽창안개상자의 결점을 보완하여 입자가 통과되면 언제든지 비적이 보이도록 한 안개상자이다.
[그림 1]과 같이 상부의 홈에는 알코올 등의 액체가 들어 있고, 히터로 증발시키게 되어 있다. 용기의 하부를 드라이아이스 등으로 냉각시키면 용기 속에는 강한 온도 기울기가 나타난다. 증발된 알코올은 아래쪽을 향해 확산되나 온도 기울기가 큰 용기의 중앙 부근은 과포화상태가 된다. 따라서 이 영역을 하전입자가 통과하면 비적이 관측된다. 그러나 이 안개상자는 연속관측에는 적합하나 유감영역(有感領域)이 한정되어 있고 감도가 균일하지 못한 것이 결점이다. [그림 2]는 우주선 공기 샤워의 안개상자 사진이다. 우주선의 고에너지 전자 및 a선이 안개상자 안에 장치된 두께 1cm 또는 2cm 되는 연판에서 전자(電磁)샤워를 일으키고 있는 모습을 관측할 수 있다.
- 다음
- 중립(질) (medium-granied) 2017.11.02
- 이전
- 앙페르 (Andre Marie Ampere, 1775~1836) 2017.11.02























