게이-뤼삭의 법칙 [Gay-Lussac’s law]
2017-03-13
기체의 온도와 부피의 관계를 나타내는 법칙. 제1법칙과 제2법칙이 있다.
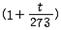
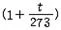
제1법칙은 기체의 부피는 일정한 압력 하에서는 기체의 종류에 관계없이 절대 온도에 정비례하여 증가한다는 것이다. 즉, V를 온도 t℃의 기체의 부피라 하고, V0을 0℃의 부피라고 하면 다음의 관계식이 성립된다.
V=V0
이 법칙은 1801년 게이-뤼삭에 의해 확립되었으나 이보다 앞서 1787년에 샤를이 같은 내용을 발표하고 있어, 샤를 법칙이라고도 한다.
제2법칙은 기체 반응의 법칙이라고도 하며 두 기체가 서로 과부족없이 반응할 때 이들 기체와 생성된 기체의 부피 사이에는 간단한 정수비(整數比)의 관계가 성립된다는 것이다. 예를 들면 수소와 산소가 반응하여 수증기를 생성할 때의 반응에서는
의 관계가 성립된다.
- 다음
- 매개변수(parameter, 媒介變數) 2017.03.13























