등가속도운동(uniformly accelerated motion, 等加速度運動)
2017-01-26
물체의 가속도가 일정한 운동. 즉, 가속도 a=d2r/dt2(r는 변위, t는 시간)이 시간에 따라 변화하지 않는 운동을 말하며, 이는 물체에 항상 일정한 힘이 작용할 때의 운동이다.
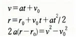
가속도가 일정해도 운동이 일직선 위에서만 일어나는 것은 아니다. 포물선운동이 그 예이다. 특히 일직선 위를 일정한 가속도로 진행하는 운동을 등가속도 직선운동이라 하며, 예컨대 수직낙하운동(垂直落下運動)이 있다. 관성계에서 질량이 변하지 않는 경우 일정한 힘으로 운동하는 물체는 등가속도운동을 한다. 가로축을 시간 t, 세로축을 속력 v로 잡아 그래프를 그리면 [그림]과 같이 직선을 이루며, 이때 직선의 기울기는 가속도를 나타낸다. 가속도의 크기, 속력, 변위 및 시간과의 관계식은 다음과 같다.
이때 v0, r0는 각각 t=0일 때의 속력 및 변위를 나타낸다.
병진운동과 회전운동으로 나누어질 때는, 각각 성분에 따라 가속도가 같을 수도 있고, 전체 가속도의 크기가 같을 수도 있으므로, 용어 사용에 유의해야 한다. 각가속도가 같을 경우에는 등각가속도 운동이라고 하지만, 자주 사용되지는 않는다.

이때 v0, r0는 각각 t=0일 때의 속력 및 변위를 나타낸다.
병진운동과 회전운동으로 나누어질 때는, 각각 성분에 따라 가속도가 같을 수도 있고, 전체 가속도의 크기가 같을 수도 있으므로, 용어 사용에 유의해야 한다. 각가속도가 같을 경우에는 등각가속도 운동이라고 하지만, 자주 사용되지는 않는다.

- 다음
- 니켈강 [nickel steel, ─鋼] 2017.01.26
- 이전
- 녹토비전(noctovision) 2017.01.26























