기체(gas, 氣體)
2017-01-18
[요약] 물질의 3가지 상태 중 하나이다.
물질의 3가지 상태 중 하나. 분자간의 거리가 멀고 끌어당기는 힘이 약하며 빠른 속도로 자유롭게 운동한다. 이것은 다른 물질 상태와 비교했을 때 밀도가 작기 때문이다. 또한 일정한 모양과 부피를 갖고 있지 않으며, 쉽게 확산되고 다른 기체와 쉽게 혼합된다. 예를 들어 공기는 질소, 산소 아르곤, 이산화탄소 등의 분자로 구성되어 있다. 온도와 압력에 의한 부피변화가 크고 유동성이 있어 액체와 함께 유체라고 한다. 액체는 기화에 의해, 고체는 승화에 의해 기체로 변한다. 열학이 발전하기 이전에는 액체상태인 물질이 기화한 증기와 상온, 상압에서의 기체상태인 가스로 구별하였으나 가스도 증기처럼 액체가 된다는 것이 밝혀지면서 구별이 무의미해진다.
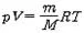
어떤 물질도 고온·저압 상태에 들어가면 기체로 변한다. 액체는 기화에 의해 기체로 변하고, 고체는 승화에 의해 기체로 변하며 이 반대의 변화도 일어난다. 기체와 액체를 총칭해서 유체(流體)라고도 한다. 아보가드로의 가설(假說)이 나온 뒤 기체분자에 관한 연구가 진척되어 분자운동에 의해서 그 성질을 논의할 수 있는 체계(體系)를 기체라 할 때도 있다. 일정량의 기체를 용기에 넣고 일정한 온도를 유지하면 그 기체의 압력과 밀도는 일정하다. 일정량(질량; mg, 분자량; M)의 기체의 압력 p, 부피 V, 온도 θ℃ 또는 T°K 사이에는 기체의 종류에 관계없이 다음과 같은 보일-샤를의 법칙이 근사적으로 성립한다.
또는
여기서 po과 Vo은 0℃에 있어서의 압력과 부피이며, 단위를 din/㎠ 및 ㎤이라고 하면 비례상수 R는 기체상수 8.314×107(erg/°Kmol)이다. 따라서 온도를 일정하게 하면 압력은 부피에 반비례하여 변하고, 압력을 일정하게 하면 온도변화에 따른 부피팽창률은 약 1/273이 된다. 그러나 이들 관계는 기체가 희박해지면 희박해질수록 잘 성립되며 특히 강하게 압축되거나 극히 저온(低溫)이 되면 크게 차이가 난다. 따라서 매우 희박해졌을 때 나타내는 극한적인 성질을 다른 어떤 압력 · 온도 하에서도 그대로 가지는 기체를 가상적으로 생각하여 이것을 이상기체(理想氣體)라 하고 기체의 성질을 근사적으로 연구할 때 기초적인 대상으로 사용한다.

어떤 물질도 고온·저압 상태에 들어가면 기체로 변한다. 액체는 기화에 의해 기체로 변하고, 고체는 승화에 의해 기체로 변하며 이 반대의 변화도 일어난다. 기체와 액체를 총칭해서 유체(流體)라고도 한다. 아보가드로의 가설(假說)이 나온 뒤 기체분자에 관한 연구가 진척되어 분자운동에 의해서 그 성질을 논의할 수 있는 체계(體系)를 기체라 할 때도 있다. 일정량의 기체를 용기에 넣고 일정한 온도를 유지하면 그 기체의 압력과 밀도는 일정하다. 일정량(질량; mg, 분자량; M)의 기체의 압력 p, 부피 V, 온도 θ℃ 또는 T°K 사이에는 기체의 종류에 관계없이 다음과 같은 보일-샤를의 법칙이 근사적으로 성립한다. 
- 이전
- 기체 온도계(gas thermometer, 氣體溫度計) 2017.01.18























