대수 [logarithm, 對數]
2016-12-23
a를 1 이외의 양수라 할 때 x, y 사이에 x=a
라는 관계가 있다고 하면, y를 a를 밑으로 하는 x의 로그라 하며 logax로 나타낸다. 이때 x를 로그 y의 진수라 한다.
y =logax를 x, y 사이의 함수관계라고 보았을 때 y를 x의 로그함수라 한다. 로그는 영국의 J. 네이피어와 스위스의 J. 뷔르기에 의해 독자적으로 발견되었으나 현재와 같이 거듭제곱과 관계 지어 로그를 끌어내는 방법은 L. 오일러가 시작한 것이다.
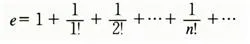
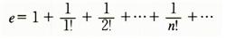
밑이 10인 로그를 상용(常用)로그라 하는데, 보통의 계산에 이용한다. 또 실수
을 밑으로 하는 로그 logax를 자연(自然)로그라고 하며 이론적인 문제에 이용된다. logax를 1
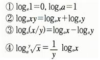
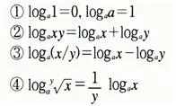
고 쓸 때도 있다. 로그함수는 지수함수의 역함수이다. 로그의 기본적인 성질은 다음과 같다.
이것은 지수(指數)법칙의 간단한 귀결이다. 로그표는 로그의 가수를 포함한 표이다. 주어진 자리수에 따라 4자리, 5자리, n자리 등의 로그표라고 한다. 이것을 이용하면 계산이 편리하며, 또한 자연로그 logax의표도 있다. 삼각함수의 로그는 흔히 로그표에 덧붙여져 있다. 이들 함수의 값은 대개의 경우 1보다 작으므로, 표는 보통 주어 진 로그에 -10을 더하도록 표시되어 있다. 예를 들면 다음과 같다.
![대수 [logarithm, 對數]](/jnrepo/uploads/2016/12/390_대수logarithm5.webp)
이것은 지수(指數)법칙의 간단한 귀결이다. 로그표는 로그의 가수를 포함한 표이다. 주어진 자리수에 따라 4자리, 5자리, n자리 등의 로그표라고 한다. 이것을 이용하면 계산이 편리하며, 또한 자연로그 logax의표도 있다. 삼각함수의 로그는 흔히 로그표에 덧붙여져 있다. 이들 함수의 값은 대개의 경우 1보다 작으므로, 표는 보통 주어 진 로그에 -10을 더하도록 표시되어 있다. 예를 들면 다음과 같다.
- 다음
- 대수계 [Algebraic system, 代數系] 2016.12.23
- 이전
- 대분수 [Mixed fraction, 帶分數] 2016.12.23























