사이언스올

통합검색

찾기

고유점성도[intrinsic viscosity, 固有粘性度]

작성일 2016-08-22
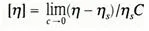
고분자의 단위 농도 당 점성도 증가율이다. 극한점성도(極限粘性度)라고도 한다. 고유점성계수를 η, 용매점성계수를 ηs , 고분자의 무게농도를 C라 하면 고유점성도[intrinsic viscosity, 固有粘性度]이다. 환산점성계수 ηred 또는 로그점성계수 ηinh를 이용하면 고유점성도[intrinsic viscosity, 固有粘性度]이다. 실험적으로는 몇 개의 농도로서 점성도 측정을 하여 ηred에 대한 C및 ηinh에 대한 C의 그래프를 두 개 만들고 농도 0에 대해 공통으로 나타나는 외삽값으로 [η]를 구한다. [η]는 농도의 역수차원을 가지며 단위는 보통 cm²/g을 이용한다.
통합검색으로 더 많은 자료를 찾아보세요! 사이언스올(www.scienceall.com)과학백과사전
The Science Times
과학문화바우처
사이언스 프렌즈
STEAM 융합교육
CreZone 크레존
문화포털
과학누리
교육기부
EDISON
과학기술인재 진로지원센터