곡률(curvature, 曲律)
2016-07-29
곡선 또는 곡면이 휜 정도를 표시하는 변화율로 곡선의 곡률은 다음과 같이 정의된다. 곡선 위의 점 P가 곡선에 따라 일정한 속도로 움직일 때, 그 진행 방향은 이동한 거리(곡선의 호의 길이) S에 따라 변화한다. 이때 변화율을 곡선의 곡률이라고 한다.
평면 곡선 위의 한 점 P에서 Q까지의 미소한 이동거리를 Δs, 두 점 P,Q의 두 접선이 만드는 각(S의 증가 방향의)을 Δθ라 하면 방향변화율 k는
로 주어지며, 이것을 그 곡선의 점 P의 곡률이라고 한다.
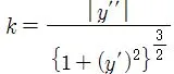
곡선 y = ƒ(x)의 곡률은
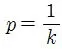
이며 k의 역수
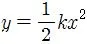
를 곡률반지름이라고 한다. 또 포물선
의 꼭지점(0,0)에서의 곡률은 k와 같다. 그리고 곡면의 곡률에는 법곡률, 측지적 곡률, 전곡률(가우스곡률), 평균곡률 등이 있다.

로 주어지며, 이것을 그 곡선의 점 P의 곡률이라고 한다.
곡선 y = ƒ(x)의 곡률은
이며 k의 역수 
- 다음
- 곡률원(circle of curvature) 2016.07.29
- 이전
- 곡률중심(center of curvature) 2016.07.29























