계차수열(difference sequence, 啓差數列)
2016-07-28
계차수열이란 등차수열, 등비수열과 같은 수열의 한 종류로서, 이웃한 항의 차이가 수열을 이루는 것을 말한다.
계차수열의 공식은
이다. a1 이 첫째항이고,
이 등차수열 또는 등비수열이다. 이때, 첫째항부터 n항까지의 개수보다 이웃한 항의 차는 항상 (n-1)이기 때문에 계차를
이 아닌,
으로 표기해야 한다.
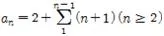
예를 들어 수열 1, 3, 6. 10, 15 … 이 있을 때, 첫째항 a1 은 1이고, 이웃한 항의 차이는 2, 3, 4, 5, …의 수열을 갖고,
의 등차수열을 갖게 된다. bn의 공차는 1이다. 따라서 계차수열
이다.
- 다음
- 고계(higher order, 高階) 2016.07.28
- 이전
- 계차상(divided difference, 啓差商) 2016.07.28























