레이더(radar)
2017-05-29
전파의 반사를 이용하여 목표물을 검출하고, 그 위치를 측정하기 위한 장치 및 기술. radio detection and ranging의 약어이다. 제2차 세계대전 당시 미군에서 처음 사용되었다. 전자파의 방사와 수신 사이로부터의 거리, 안테나의 선회, 회전에 의한 전자파의 최대 수신 각도로부터의 방향, 반사파의 성질로부터 대상물의 형상과 속성을 통해 목표물의 정보를 얻는다.
레이더의 종류는 반사되는 전자파의 이용방법에 따라 기상레이더, 보조감시레이더, 합성개구레이더, 수동형레이더, 레이저 레이더 등이 있다. 레이더의 표시방법은 수신신호를 시간축으로 표시하는 A스코프와 원형의 표시기에 시계 방향으로 회전하는 주사선에서 지도모양으로 표시하는 PPI 등이 있다. 전파를 선박·항공기 등의 목표 물체를 향해 방사(放射)하고, 목표물에 의해 반사된 전파 또는 목표물에 의해서 제방사되는 전파를 받아서 전파의 왕복시간이나 전파가 되돌아오는 방향으로부터 목표물의 위치를 측정하는 것이다.
레이더는 송수신 신호의 형상에 따라 1차 레이더와 2차 레이더로 분류된다. 전자는 송신된 전파가 목표물에 의해서 반사되어 되돌아오는 전파를 이용하는 레이더이고, 후자는 목표물이 재방사하는 전파를 이용하는 레이더이다.
1차 레이더는 다시 펄스레이더와 연속파(連續波, continuous wave ; CW)레이더로 분류된다. 펄스레이더는 레이더의 송수신파형으로 4각형의 펄스변조파를 이용한 것이다. 한편 펄스변조되지 않은 사인파를 송수신하는 레이더를 연속파레이더라고 한다. 무변조인 사인파를 이용한 CW레이더에서는 거리측정이 되지 않는다.
CW레이더에 거리측정능력을 갖게 하기 위해서는 송신 신호에 주파수변조(FM ; frequency modulation)를 하는 것이 필요한데, 이 방식을 주파수변조 연속파 (FM-CW)레이더라고 하며, 저고도용(低高度用)의 전파고도계 등 한정된 분야에서 쓰인다.
레이더의 하드웨어는 보통 안테나·송신기·수신기 및 지시기로 구성되는데, 여러 가지의 신호처리를 수반한 것에는 신호처리기가 부가된다.
〔개발의 역사〕
1925년 미국의 G. 브레이트와 M. A. 튜브는 전리층으로 향한 펄스 모양의 전파를 발사하여 그 반사파로부터 전리층의 높이를 관측했다. 이것이 오늘날의 펄스레이더 기술의 기초가 되었다. 30년대에는 미국·영국·독일·프랑스에서 레이더의 개발이 성행하였으며, 제2차 세계대전과 함께 연구는 가속적으로 진행되었다. 영국의 경우 34년 R. A. 윗슨-와트의 지도로 레이더의 개발에 착수하여 38년에는 적의 항공기의 접근을 경계하는 레이더를 실용화하였다.
초기의 레이더는 안테나 등이 대형이어서 지상 혹은 대형 함정(艦艇)에만 배치하였으나, 제2차 세계대전 중에는 보다 소형화되어 항공기에도 탑재하게 되었다. 또 측정정밀도도 향상되어 43년에는 폭격이나 포격(砲擊)의 조준용 레이더가 등장했다. 이어서 초저공비행하여 기동부대로 접근하는 적의 항공기를 탐지하는 항공기용 조기경계레이더도 개발되었다.
레이더의 평화적 이용이 성행하게 된 것은 제2차 세계대전 이후로, 항공기나 선박의 항행용 레이더, 항공관제레이더나 기상관측레이더 등이 개발되었다. 또 우주개발이나 원격탐사(遠隔探査)분야 등에서도 반드시 필요한 장치가 되었다.
50년대에는 SAR(synthetic aperture rader)·MTI(moving target indicator) 등 코히어런트레이더라고 하는 반사파의 진폭 및 위상정보(位相情報)를 검출·이용하는 기술이 실용화되었으며, 60년대에는 신호의 디지틀 처리기술이 개발되고, 전리층에 의한 단파대(短波帶)의 전파의 반사를 이용한 OTH(over the horizon) 레이더가 실용화되었다.
70년대에 들어와 그때까지 하나로 취급되었던 레이더의 수신신호의 내부에 포함된 여러 가지의 정보를 추출하기 위한 시도를 함으로써, 이 기술분야의 진보와 더불어 원격탐사 및 군사정찰에 레이더의 이용범위가 넓어지게 되었다.
〔레이더의 원리〕
(1) 구성과 동작개요 : 1차 레이더 중에서도 가장 대표적인 펄스레이더를 예로 들어 설명한다. [그림 1,2]
① 전신회로 : 동기(同期)신호 발생기가 출력하는 트리거 신호에 동기한 마그네트론을 구동(驅動)한다. 마그네트론은 변조기에 의해서 결정된 일정한 펄스폭 및 일정한 펄스 반복주파수 (PRF ; pulse repetition frequency)의 대전력고주파 펄스(송신펄스)를 발생한다.
② 안테나 : 펄스레이더에서는 보통 1개의 안테나로 송·수신을 하므로 송수전환기(送受轉換器)가 필요하게 된다. 송신펄스는 이 송수전환기를 통해서 안테나의 외부공간으로 방사된다.
안테나의 성능은 지향성(指向性)·전력이득(電力利得)·빔폭·사이드로브레벨 등으로 나타낸다. 지향성이란 안테나에서 방사된 에너지의 공간분포를 나타낸 것이며, [그림 3]과 같이 각도의 함수로써 표시된다. 전력이득은 안테나가 에너지를 집중시키는 능력을 나타내는 양이다. [그림 3]에서 전력이득이 그 최대값으로부터 크게 되는 각도폭을 빔폭(전력반값폭)이라 하고, 안테나로부터의 복사에너지가 집중하는 각도범위를 나타낸다.
안테나주(主)로 브란[그림 3]에 나타낸 범위를 말하며, 복사전력의 대부분(통상 90% 이상)이 집중되어 있다. 나머지의 범위를 사이드로브라고 하고, 이 복사전력강도를 사이드로브레벨이라고 한다. 사이드로브는 안테나의 사용목적에는 불필요한 것이며, 목표를 포착하는데 오차를 일으키는 원인이 되므로 될 수 있는 대로 적게 할 필요가 있다.
레이더의 사용주파수는 수 MHz부터 수십 GHz 이상에 이르지만, 첨예한 빔이 얻어지기 쉽고 장치의 소형화가 쉬운 1GHz 이상의 마이크로파가 많이 사용된다.
③ 수신회로·지시기 : 안테나에서 수신한 목표물로부터의 반사파는 송수전환기를 경유한 수신기에 입력되어 증폭된 다음, 믹서로 넣어져 국부발진기(局部發振器)의 출력과 혼합하여 중간주파수신호로 변환된다. 이 신호는 더욱 증폭·검파된 비디오신호로 되어 지시기로 송출된다. 또 지시기에는 비디오신호를 안테나의 회전으로 동기시켜 나타내므로 안테나회전 각신호가 각도검출기에서 입력된다.
국부발진기는 전압제어발진기이며, 주파수판별기 출력으로 구동되는 제어증폭기에 의해 발진주파수가 제어되고, AFC믹서와 AFC중간주파수 증폭기를 포함한 서보 루프를 형성한다.
(2) 거리측정 : 펄스레이더에서는 대전력의 고주파펄스(송신펄스)를 방사하는 것부터 반사파를 수선할 때까지의 시간 T6에 의해서 목표까지의 거리를 측정한다[그림 2]. 송신펄스가 목표까지 도달하는 데 필요한 시간은 T6/2이므로, 목표와 레이더의 거리 R는 다음 식과 같다. R = cT6/2 여기서 C는 전파의 속도(약 3× 108 m/s)이다.
(3) 방위 측정 : 목표물의 방위를 측정하기 위해서는 목표물로부터의 반사파가 어느 방향에서 오는가를 식별할 필요가 있다. [그림 3]과 같이 안테나는 첨예한 지향성을 가지며, 안테나의 정면방향에서 이득이 최대로 된다. 따라서 안테나 전체를 수평방향으로 회전시키면 목표물로부터의 수신신호가 최대로 되는 안테나의 회전각 방향이 목표물의 방위를 가리킨다.
(4) 목표물의 표시형식 : 목표물의 거리와 방향을 표시하는 장치를 지시기라고 한다. 표시형식에는 여러 형이 있으며, 레이더가 쓰이는 목적에 따라 선택된다. 표시형식을 크게 나누면 목표물로부터의 반사비디오신호의 강도를 하나의 축을 써서 나타낸 것과 휘도(輝度)로써 나타낸 것이 있다.
〔레이더의 성능〕일반적으로 레이더의 성능은 최대 탐지거리·거리분해능·각도분해능으로 표시한다.
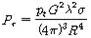
(1) 최대탐지거리 : 거리 R에 존재하는 목표물로부터의 반사파 수신전력 Pr는 다음 식과 같다.
여기서 Pt는 송신첨두전력(送信尖頭電力 ; 송신기가 발생하는 고주파 펄스신호의 첨두(피크)전력, G는 안테나의 이득, λ는 송신파장, σ는 레이더의 방향에서 보는 목표의 유효반사면적이며 레이더 단면적이라고 한다. 최대탐지거리는 레이더의 수신감도에 따라 결정된다. 수신감도는 수신기의 내부에서 발생하는 수신기잡음과 깊은 관련이 있으며, 목표물로부터의 반사파 잡음 중에서 판별하여 얻는다. 수신감도는 최소의 반사파수신전력(MDS ; minimum detectable signal)으로써 표시된다.
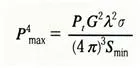
보통의 펄스레이더의 경우, MDS는 수신기잡음보다 몇 배 정도 큰 것이 필요하다. MDS는 간단하기 때문에 Smin (최소 수신신호)으로 불리는 것이 많다. 수신전력 Pt이 Smin과 같게 되는 거리가 최대 탐지거리 Rmax이며, 다음 식과 같다.
이 식을 레이더거리방정식이라고 한다. 이 식에 의해 최대탐지거리를 2배로 하기 위해서는 송신첨두전력을 16배로 하지 않으면 안 된다는 것을 알 수 있다.
(2) 거리분해능 : 같은 방향에 근접하여 존재하는 두 목표물이 있을 때, 레이더가 이들을 2개의 목표물이라고 판별할 수 있는 두 목표물 사이의 최소거리를 레이더의 거리분해능이라 한다. 거리분해능 ΔR는 송신펄스폭 τ로써 결정되며, 다음과 같이 나타낸다. ΔR = cτ /2
송신펄스폭이 1μs인 레이더의 거리분해능은 150m이다. 이들은 두 목표물 사이의 거리가 송신펄스폭에 상당하는 거리 이하로 되면 그 목표물로부터의 반사파가 시간적으로 중합되어 서로 구별되지 않기 때문이다.
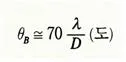
(3) 각도분해능 : 동일 거리에 존재하는 두 목표물을 서서히 근접시킬 때 레이더가 그들을 두 목표물이라고 판별하여 얻은 최소의 각도 차를 레이더의 각도분해능이라고 한다. 각도분해능 Δθ는 안테나의 빔폭 θB로써 결정되며, 다음과 같이 나타낸다. Δθ = θB
그런데 θB와 일반적으로 사용되는 원형 개구(開口) 안테나의 지름 D와의 관계는 다음 식으로 나타낸다.
따라서 송신파장 λ가 3cm일 때, 안테나 지름 D가 70cm인 원형개구 안테나를 사용한 레이더의 각도분해능은 3˚가 된다.
〔레이더의 응용〕
(1) 기상레이더 : 대기 속의 비구름·강우대(降雨帶)의 분포나 이동상황 또는 강수량 등의 기상정보를 얻기 위하여 쓰이는 레이더이다. 기상레이더의 사용 주파수에는 9,375MHz(파장 3.2cm)·5,300MHz(파장 5.7cm) 및 2,800MHz(파장 10cm)가 있으며, 지상설치 및 선박탑재용의 기상관측레이더에는 5.7cm파(波)가 이용된다.
10cm파는 강우에 의한 전반로(傳搬路)의 감쇠가 적은 것부터 원거리(遠距離) 태풍관측용에 이용된다. 항공기에 탑재하여 안전항행을 위하여 기상조건의 예지 및 지형의 관측을 하는 항법 기상레이더에는 3.2cm파 또는 5.7cm파가 이용된다.
(2) 항공관제레이더 : 항공 교통의 안전확보와 공역(空域)의 유효한 활동을 위하여 이용되는 레이더의 총칭으로, 항로감시레이더(ARSR ; air route surveillance radar), 공항감시레이더(ASR ; airport surveillance radar), 정측진입레이더(PAR ; percision approach radar), 공항면탐지장치(ASDE ; airport surface detection equiment) 등이 있다.
(3) 선박용 레이더 : 충돌방지 및 자선(自船)위치의 측정을 위하여 다른선박·섬·해안·항로표식 등의 목표를 고정밀도·고분해능으로 검출하는 레이더이다. 실용되는 선박용 레이더의 주파수구역은 밀리파·3cm파·5cm파·10cm파가 있다.
밀리파는 분해능을 필요로 하는 좁은 수로를 항행하는 선박의 레이더에 사용된다. 3cm파는 비교적 소형의 안테나로, 지향성이 뛰어나서 가장 많이 사용된다. 10cm파는 안테나가 대형이어서 목표탐지장거리성능이 우수하므로 대형선박용의 레이더에 쓰인다.
(4) 항만레이더 : 주요한 항만이나 해협에 설치하여 선박의 항행을 관제(管制)하기 위하여 쓰이는 레이더이다. 항만레이더는 고분해능이 필요하기 때문에 주파수구역은 1.2cm파 및 8mm파이며, 펄스폭은 0.1μs 이하의 것이 많이 쓰인다.
(5) 대공경계용 레이더 : 적의 항공기의 접근을 경계하기 위하여 쓰이는 레이더이며, 탐색레이더와 측고(測高)레이더로 구성된다. 탐색레이더로써 목표물의 방위와 거리는 알지만 고도가 불분명하기 때문에 예민한 안테나빔을 상하 방향으로 주사(走査)하여 목표의 고저각(高低角)을 재는 측고레이더를 병용한다. 또 1대의 레이더로써 목표의 공간좌표를 결정하는 3차원레이더가 실용화되었다. 3차원레이더에는 여러 가지가 있으나 수직면내에 여러 개의 빔을 내어 수평면내에서 주사하는 방식이 많이 이용된다.
또 지상 또는 함선에 설치한 대공경계레이더에 의한 피탐지(被探知)를 피하기 위하여 초저공비행으로 접근하는 적의 항공기를 탐지하는 기상(機上)조기경계레이더(AEW radar ; airborne early warning radar), 단파구역의 전파가 전리층에 의해서 반사되는 것을 이용하여 지상의 레이더에서 수평선 너머에 있는 비행체를 발견하는 OTH레이더가 있다.
(6) 화기(火器)관제장치 : 레이더로써 목표물의 현재위치와 그 운동을 측정하고, 계산기를 사용하여 목표물의 앞으로의 위치를 예측하여 무기의 사격방향을 제어한 것을 화기관제장치(FCS ; fire control system)라고 한다. 현재 운용되고 있는 거의 모든 전투기나 함정에는 이 종류의 장치가 탑재되어 있다.
(7) 리모트센싱용 레이더 : 인공위성이나 항공기에 탑재하여 자원탐사나 해양관측을 위하여 쓰이는 레이더이다. 대표적인 예로는 해면이나 지면의 상황을 예측하는 마이크로파 산란계(散亂計) 및 지표면의 고분해능 화상(畵像)을 얻는 합성개구(開口) 레이더가 있다.
(8) 기타의 레이더 : 기타의 레이더로서 항공기의 고도를 측정하는 전파고도개, 항공기의 대지속도(對地速度) 등을 연속적으로 측정하는 도프라이너비게이터, 항공기에 탑재하여 산악(山嶽) 등과의 충돌을 피하기 위해 쓰이는 지형회피레이더(terrain avoidance radar), 지형을 따라서 비행하기 위하여 사용되는 지형추적레이더(terrain following radar), 세미액티브미사일의 유도를 위하여 항상 특정한 목표를 조명(照明)하는 조사용(照射用) 레이더 등이 있으며, 그 응용범위는 매우 넓다.
이 식을 레이더거리방정식이라고 한다. 이 식에 의해 최대탐지거리를 2배로 하기 위해서는 송신첨두전력을 16배로 하지 않으면 안 된다는 것을 알 수 있다.
(2) 거리분해능 : 같은 방향에 근접하여 존재하는 두 목표물이 있을 때, 레이더가 이들을 2개의 목표물이라고 판별할 수 있는 두 목표물 사이의 최소거리를 레이더의 거리분해능이라 한다. 거리분해능 ΔR는 송신펄스폭 τ로써 결정되며, 다음과 같이 나타낸다. ΔR = cτ /2
송신펄스폭이 1μs인 레이더의 거리분해능은 150m이다. 이들은 두 목표물 사이의 거리가 송신펄스폭에 상당하는 거리 이하로 되면 그 목표물로부터의 반사파가 시간적으로 중합되어 서로 구별되지 않기 때문이다.
(3) 각도분해능 : 동일 거리에 존재하는 두 목표물을 서서히 근접시킬 때 레이더가 그들을 두 목표물이라고 판별하여 얻은 최소의 각도 차를 레이더의 각도분해능이라고 한다. 각도분해능 Δθ는 안테나의 빔폭 θB로써 결정되며, 다음과 같이 나타낸다. Δθ = θB
그런데 θB와 일반적으로 사용되는 원형 개구(開口) 안테나의 지름 D와의 관계는 다음 식으로 나타낸다.
따라서 송신파장 λ가 3cm일 때, 안테나 지름 D가 70cm인 원형개구 안테나를 사용한 레이더의 각도분해능은 3˚가 된다.
〔레이더의 응용〕
(1) 기상레이더 : 대기 속의 비구름·강우대(降雨帶)의 분포나 이동상황 또는 강수량 등의 기상정보를 얻기 위하여 쓰이는 레이더이다. 기상레이더의 사용 주파수에는 9,375MHz(파장 3.2cm)·5,300MHz(파장 5.7cm) 및 2,800MHz(파장 10cm)가 있으며, 지상설치 및 선박탑재용의 기상관측레이더에는 5.7cm파(波)가 이용된다.
10cm파는 강우에 의한 전반로(傳搬路)의 감쇠가 적은 것부터 원거리(遠距離) 태풍관측용에 이용된다. 항공기에 탑재하여 안전항행을 위하여 기상조건의 예지 및 지형의 관측을 하는 항법 기상레이더에는 3.2cm파 또는 5.7cm파가 이용된다.
(2) 항공관제레이더 : 항공 교통의 안전확보와 공역(空域)의 유효한 활동을 위하여 이용되는 레이더의 총칭으로, 항로감시레이더(ARSR ; air route surveillance radar), 공항감시레이더(ASR ; airport surveillance radar), 정측진입레이더(PAR ; percision approach radar), 공항면탐지장치(ASDE ; airport surface detection equiment) 등이 있다.
(3) 선박용 레이더 : 충돌방지 및 자선(自船)위치의 측정을 위하여 다른선박·섬·해안·항로표식 등의 목표를 고정밀도·고분해능으로 검출하는 레이더이다. 실용되는 선박용 레이더의 주파수구역은 밀리파·3cm파·5cm파·10cm파가 있다.
밀리파는 분해능을 필요로 하는 좁은 수로를 항행하는 선박의 레이더에 사용된다. 3cm파는 비교적 소형의 안테나로, 지향성이 뛰어나서 가장 많이 사용된다. 10cm파는 안테나가 대형이어서 목표탐지장거리성능이 우수하므로 대형선박용의 레이더에 쓰인다.
(4) 항만레이더 : 주요한 항만이나 해협에 설치하여 선박의 항행을 관제(管制)하기 위하여 쓰이는 레이더이다. 항만레이더는 고분해능이 필요하기 때문에 주파수구역은 1.2cm파 및 8mm파이며, 펄스폭은 0.1μs 이하의 것이 많이 쓰인다.
(5) 대공경계용 레이더 : 적의 항공기의 접근을 경계하기 위하여 쓰이는 레이더이며, 탐색레이더와 측고(測高)레이더로 구성된다. 탐색레이더로써 목표물의 방위와 거리는 알지만 고도가 불분명하기 때문에 예민한 안테나빔을 상하 방향으로 주사(走査)하여 목표의 고저각(高低角)을 재는 측고레이더를 병용한다. 또 1대의 레이더로써 목표의 공간좌표를 결정하는 3차원레이더가 실용화되었다. 3차원레이더에는 여러 가지가 있으나 수직면내에 여러 개의 빔을 내어 수평면내에서 주사하는 방식이 많이 이용된다.
또 지상 또는 함선에 설치한 대공경계레이더에 의한 피탐지(被探知)를 피하기 위하여 초저공비행으로 접근하는 적의 항공기를 탐지하는 기상(機上)조기경계레이더(AEW radar ; airborne early warning radar), 단파구역의 전파가 전리층에 의해서 반사되는 것을 이용하여 지상의 레이더에서 수평선 너머에 있는 비행체를 발견하는 OTH레이더가 있다.
(6) 화기(火器)관제장치 : 레이더로써 목표물의 현재위치와 그 운동을 측정하고, 계산기를 사용하여 목표물의 앞으로의 위치를 예측하여 무기의 사격방향을 제어한 것을 화기관제장치(FCS ; fire control system)라고 한다. 현재 운용되고 있는 거의 모든 전투기나 함정에는 이 종류의 장치가 탑재되어 있다.
(7) 리모트센싱용 레이더 : 인공위성이나 항공기에 탑재하여 자원탐사나 해양관측을 위하여 쓰이는 레이더이다. 대표적인 예로는 해면이나 지면의 상황을 예측하는 마이크로파 산란계(散亂計) 및 지표면의 고분해능 화상(畵像)을 얻는 합성개구(開口) 레이더가 있다.
(8) 기타의 레이더 : 기타의 레이더로서 항공기의 고도를 측정하는 전파고도개, 항공기의 대지속도(對地速度) 등을 연속적으로 측정하는 도프라이너비게이터, 항공기에 탑재하여 산악(山嶽) 등과의 충돌을 피하기 위해 쓰이는 지형회피레이더(terrain avoidance radar), 지형을 따라서 비행하기 위하여 사용되는 지형추적레이더(terrain following radar), 세미액티브미사일의 유도를 위하여 항상 특정한 목표를 조명(照明)하는 조사용(照射用) 레이더 등이 있으며, 그 응용범위는 매우 넓다.
- 다음
- 로중간자(meson) 2017.05.29
- 이전
- 란다우 반자성(Landau diamagletism) 2017.05.25



























