군수열 [group sequence, 郡數列]

수열 {an}에서 몇 개의 임의의 항을 차례로 묶어 군으로 나눈 수열을 군수열이라고 말하며, 주어진 수열에서 몇개의 항이 일정한 규칙에 따라 짝을 지어 군을 이루는 수열을 뜻한다.
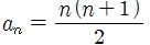
군수열의 일반적인 형태는 (a1), (a2, a3), (a4 , a5 , a6), … 로 나타낼 수 있다. 군수열의 합은 각 항의 일반항을 만들어 시그마로 묶어서 계산한다. 예를 들어, (1), (1,2), (1,2,3), (1,2,3,4) …와 같은 수열을 군수열이라고 한다. 군수열에서 n군의 k항을 풀어쓰면 1+2+3+…+(n-1)+k 항이 된다. 이때, 각 항의 일반항은
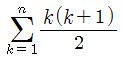
이 되고, 군수열의 합은
이다. 군수열을 푸는 과정은 다음과 같다.
1) 주어진 수열에서 각 항의 규칙성을 파악하여 적절한 군으로 나눈다.
2) 각 군의 첫째항을 조사하여 규칙성을 파악한다.
3) 각 군의 항의 개수를 파악한다.
4) 각 군에서 각 항 사이의 규칙성을 파악한다.


- 다음
- 궤적 [locus, 軌跡] 2016.10.26
- 이전
- 군론 [theory of groups, 群論] 2016.10.26
