건너뛰기링크
본문 바로가기
주메뉴 바로가기
하단 바로가기
통합검색
찾기
전체 메뉴 닫힘
미디어
사이언스 라이브
YTN 사이언스
사이언스 타임즈
과학뉴스
문화광장
과학도서·상품
과학인
과학게임
과학문화사업
과학이야기
카드뉴스
인포그래픽
과학만화
알쓸신과
ScienceAll@More
E학습
과학학습콘텐츠
과학 교육
수학 교육
SW교육
학년별 추천 콘텐츠
체험
과학문화프로그램
과학문화 특집 페이지
소통마당
공지사항
이벤트
커뮤니티
과학기술정책
미디어
미디어
사이언스 라이브
과학영상 프로그램
과학 영상클립
과학 이야기
YTN 사이언스
사이언스TV
호기심팩토리
지헌이네 과학만사성
사이언스 타임즈
과학뉴스
연구 성과
문화광장
문화광장
과학도서·상품
우수과학도서
우수과학문화상품
SF소설
사이언스 리더스리더 후기
이지사이언스 시리즈
과학인
과학기술유공자
2023 과학자 인터뷰
과학게임
낱말게임
틀린그림찾기
과학게임
과학문화사업
과학융합콘텐츠
과학문화전문인력
싸이테인먼트
기업 과학기술 사회공헌활동 우수사례
미래사회 시나리오 공모전 수상작
상상이상 사이언스 창의·진로 과학교실
과학이야기
과학이야기
카드뉴스
공모전 우수작품연재
연구실 안전 콘텐츠 공모전
인포그래픽
공모전 우수작품연재
연구실 안전 콘텐츠 공모전
과학만화
전체
무엇일까 무이무이
방구석 SF 오딧세이
사이언스 스쿨
호모 사이언스
주워진 아이
공모전 우수작품연재
연구실 안전 콘텐츠 공모전
디로&라노의 만약에 말야
디로&라노의 과학한 이유
완결
알쓸신과
ScienceAll@More
국립생물자원관-연구일지
KISTI의 과학향기
E학습
E학습
과학학습콘텐츠
과학상식
실감형 콘텐츠
O.D.I.Y
교수학습자료실
2022사이언스올 과학학습 놀이터
과학 교육
수학 교육
SW교육
학년별 추천 콘텐츠
체험
체험
과학문화프로그램
전국의 과학문화 프로그램
대한민국 과학축제
온라인 과학축제
과학문화 특집 페이지
소통마당
소통마당
공지사항
이벤트
커뮤니티
과학토론
세.과.시
과학기술정책
탄탄대로 캠페인
로그인
회원가입
사이트맵
전체 메뉴 열기
로그인
회원가입
미디어
사이언스 라이브
과학영상 프로그램
과학 영상클립
과학 이야기
YTN 사이언스
사이언스TV
호기심팩토리
지헌이네 과학만사성
사이언스 타임즈
과학뉴스
연구 성과
문화광장
과학도서·상품
우수과학도서
우수과학문화상품
SF소설
사이언스 리더스리더 후기
이지사이언스 시리즈
과학인
과학기술유공자
2023 과학자 인터뷰
과학게임
낱말게임
틀린그림찾기
과학게임
과학문화사업
과학융합콘텐츠
과학문화전문인력
싸이테인먼트
기업 과학기술 사회공헌활동 우수사례
미래사회 시나리오 공모전 수상작
상상이상 사이언스 창의·진로 과학교실
과학이야기
카드뉴스
공모전 우수작품연재
연구실 안전 콘텐츠 공모전
인포그래픽
공모전 우수작품연재
연구실 안전 콘텐츠 공모전
과학만화
전체
무엇일까 무이무이
방구석 SF 오딧세이
사이언스 스쿨
호모 사이언스
주워진 아이
공모전 우수작품연재
연구실 안전 콘텐츠 공모전
디로&라노의 만약에 말야
디로&라노의 과학한 이유
완결
알쓸신과
ScienceAll@More
국립생물자원관-연구일지
KISTI의 과학향기
E학습
과학학습콘텐츠
과학상식
실감형 콘텐츠
O.D.I.Y
교수학습자료실
2022사이언스올 과학학습 놀이터
과학 교육
수학 교육
SW교육
학년별 추천 콘텐츠
체험
과학문화프로그램
전국의 과학문화 프로그램
대한민국 과학축제
온라인 과학축제
과학문화 특집 페이지
소통마당
공지사항
이벤트
커뮤니티
과학토론
세.과.시
과학기술정책
탄탄대로 캠페인
QUICK MENU
빠른 이동 메뉴
전국의
과학문화
프로그램
과학교육콘텐츠
과학백과사전
카드뉴스
TOP
과학백과사전
과학백과사전
과학백과사전
과학백과사전
과학백과사전
과학백과사전
검색
최신글
뉴스레터와 함께하는 과학백과 퀴즈 이벤트 2회차 당첨자 발표
세계 우주주간 맞이 「우주에게 편지쓰기」 이벤트 당첨자 발표
[서울시립과학관] 과학북토크: 달작한 사이언스 11월 아무튼, 실험실
인기글
[과학줍줍] 다이어울프가 돌아왔다?!
[과학줍줍] Biomass - 숲을 재는 위성이 있다고요?
[과학줍줍] 이 논문, 합격입니다! - 심사위원이.. AI라고요?
가비의 이(componendo, 加比의 理)
2016-09-28
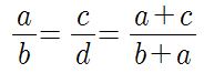
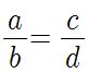
비례에 관한 정리의 하나로,
이면
가 성립되는 것을 말한다. 일반적으로
이 성립한다. 이를테면, 일 때
이 성립됨을 가비의 이로 간단히 증명할 수 있다.
#비례식
목록
다음
곽수경[郭守敬]
2016.09.28
이전
가분수(improper fraction, 假分數)
2016.09.28
관련 콘텐츠
단비례 [simple proportion, 單比例]
단비례[simple proportion, 單比例]
가비의 이[componendo, 加比의 理]